Wenn Ihnen das mit dem Wizard erstellte Skript nicht ausreicht oder Sie keine Pro-Lizenz besitzen, müssen Sie das Skript manuell mit einem Texteditor oder dem integrierten Editor von Eclipse Orchestrator erstellen. Alternativ können Sie auch eine der mitgelieferten Skriptvorlagen nutzen.
Im Gegensatz zum Wizard erlaubt die manuelle Erstellung beispielsweise:
- mehrstufige Belichtungsreihen während der partiellen Phase
- sinusförmig verlaufende Belichtungsreihen während der Totalität
- Aufrufen von erweiterten Funktionen während der Laufzeit
- Nutzung des Bulb-Modus bei Langzeitbelichtungen
Damit steht Ihnen ein deutlich größerer Funktionsumfang zur Verfügung – allerdings erfordert dies ein tieferes Verständnis der Skriptstruktur und -syntax von Eclipse Orchestrator.
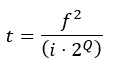
Die korrekten Belichtungszeiten für jede Phase der Finsternis selbst berechnen
Mithilfe der Solar Eclipse Exposure Guide 2008 von Fred Espenak lassen sich die empfohlenen Belichtungszeiten für verschiedene Phasen der Sonnenfinsternis und unterschiedliche Himmelshelligkeiten leicht ablesen – angepasst an die eigene Ausrüstung.
Alternativ können die Belichtungszeiten auch manuell berechnet werden – mithilfe der folgenden Formel:
t = Belichtungszeit in Sekunden f = Blende / Öffnungsverhältnis der Optik i = ISO-Wert Q= Brightness Exponent
Die für jedes Phänomen passenden Q-Werte entnehmen Sie bitte der folgenden Tabelle:
Erstellen Sie eine eigene Tabelle mit den passenden Belichtungszeiten, ISO-Werten und Blendenzahlen für Ihre individuelle Ausrüstung. Nachfolgend ein Beispiel für ISO 100 und Blende f/8:
Hinweise zur Belichtungsanpassung und Standortwahl
Sie können selbstverständlich auch die ISO-Empfindlichkeit erhöhen, wenn längere Belichtungszeiten nötig wären, Sie aber keine motorisierte Nachführung verwenden. Dadurch verkürzen sich die Belichtungszeiten, was Bewegungsunschärfe durch die Erdrotation reduziert. Alternativ lässt sich auch die Blendenöffnung anpassen – allerdings nur, wenn Sie ein Objektiv mit verstellbarer Blende verwenden. Bei Teleskopen ist dies in der Regel nicht möglich, da sie über eine feste Blendenzahl verfügen.
Kontaktzeiten der Sonnenfinsternis als Zeitreferenz im Skript
Das Maximum einer zentralen Sonnenfinsternis liegt zwischen dem zweiten und dritten Kontakt. Neben dem Moment des Maximums sind bei jeder Sonnenfinsternis an jedem Beobachtungsort vier charakteristische Zeitpunkte von Bedeutung – die sogenannten vier Kontakte:
Erster Kontakt (C1): Der Neumond berührt erstmals den Rand der Sonnenscheibe. Die partielle Phase der Finsternis beginnt. Zweiter Kontakt (C2): Der Neumond bedeckt die Sonnenscheibe vollständig (bei einer totalen Finsternis) oder befindet sich vollständig vor ihr (bei einer ringförmigen Finsternis). Die totale bzw. ringförmige Phase beginnt. Dritter Kontakt (C3): Der Neumond beginnt, die Sonnenscheibe wieder freizugeben. Es folgt erneut eine partielle Phase. Vierter Kontakt (C4): Der Neumond verlässt die Sonnenscheibe vollständig. Die Finsternis ist beendet.
Eclipse Orchestrator berechnet die Kontaktzeiten automatisch auf Grundlage der ausgewählten Sonnenfinsternis und des angegebenen Standorts. Diese Zeiten werden in den Variablen C1, C2, C3, C4 und MAX gespeichert und können im Skript als Zeitreferenzen verwendet werden.
Skript für eine festgelegte Finsternisdauer erstellen
Beginnen wir nun mit einem Skript für die 1 Minute und 43 Sekunden kurze totale Sonnenfinsternis am 12. August 2026 in Burgos, Spanien. Ein Skript wird immer für einen bestimmten Standort erstellt, da sich die Dauer der Totalität mit dem Ort verändert. Ändert sich der Beobachtungsort, sollte ein neues, angepasstes Skript erstellt werden. Andernfalls kann es zu zeitlichen Überschneidungen kommen, die verschiedene Probleme verursachen können:
Auslösungen werden ausgelassen
Falsche Belichtungszeiten werden zur Kamera gesendet
Die Kamera blockiert oder bricht die Sequenz ab
Der Dateiname des Skripts sollte idealerweise die Dauer der Finsternis enthalten. Beispiel: Sofi2026-Burgos-1min43sec-Version1.csv
Einen eigenen Texteditor oder den Editor von Eclipse Orchestrator verwenden?
Der integrierte Editor in Eclipse Orchestrator (zugänglich über „File“ → „Edit“) ist für einfache Skripte geeignet, stößt jedoch bei komplexeren Abläufen an seine Grenzen, da er ausschließlich per Mausklick und Auswahlfelder bedient wird.
Es wird empfohlen, stattdessen einen auf dem Betriebssystem vorhandenen Texteditor wie Notepad oder Notepad++ zu nutzen.
Hinweis: Änderungen am Skript werden in Eclipse Orchestrator erst übernommen, nachdem die Taste F5 gedrückt wurde.
Funktionsweise des Skripts
Ein Skript besteht aus einzelnen Anweisungen, die jeweils in einer Zeile stehen. Diese Anweisungen werden nicht in der Reihenfolge von oben nach unten abgearbeitet, sondern basieren auf der in jeder Zeile angegebenen Zeitreferenz. Eclipse Orchestrator sortiert die Befehle automatisch entsprechend ihrer zeitlichen Reihenfolge.
Die Anweisungen können beispielsweise Kameraeinstellungen wie Belichtungszeit festlegen und anschließend die Auslösung steuern. Zudem besteht die Möglichkeit, Schleifen zu definieren, um wiederkehrende Abläufe zu automatisieren. Darüber hinaus stehen Spezialanweisungen zur Verfügung, etwa für das Ausgeben von Sprachansagen oder zum Starten externer Programme.
Hier ein Bespiel für die Anweisung „TAKEPIC“ zum Erstellen eines Fotos:
Eine Anweisung besteht aus mehreren, durch Kommas getrennten Parametern, darunter Belichtungszeit, Blende, ISO-Wert und weitere. In den nächsten Abschnitten werden diese ausführlich erklärt.
Die nachfolgenden Skript-Beispiele nicht unverändert übernehmen!
Passen Sie die Belichtungseinstellungen und den Kameranamen In den folgenden Beispielen an Ihre Konfiguration und Ausrüstung an, damit das Skript in Eclipse Orchestrator korrekt funktioniert und die gewünschten Ergebnisse liefert. In den nachfolgenden Beispielen wird immer KAMERA1 und die oben berechneten Belichtungseinstellungen (Blende 8 bei ISO100) verwendet.
Hinweis: Der Name der Kamera wird im Hardware-Menü im Feld „Kamera -> Description“ festgelegt. Im Skript ist dabei unbedingt auf die exakte Schreibweise einschließlich Groß- und Kleinschreibung zu achten. Mit dem speziellen Parameter ALLCAMS können Skriptaktionen an alle angeschlossenen Kameras gleichzeitig gesendet werden.
unverfinsterte Sonne vor dem 1. Kontakt (Q=11 oder Q=8 je nach Filter)
Vor dem ersten Kontakt können Sie mit einige Aufnahmen der unverfinsterten Sonne anfertigen. Diese eignen sich zur Belichtungskontrolle oder als Referenzbilder für spätere Vergleiche.
Die erforderlichen Belichtungszeiten hängen von der optischen Dichte des verwendeten Sonnenfilters ab:
Es gibt drei Optionen, um diese Aufnahmen in einem Skript zu integrieren:
Einzelaufnahmen mit konstanten oder unterschiedlichen Belichtungszeiten
Intervalometer mit konstanter Belichtung
Intervalometer mit Belichtungsreihe (Bracketing)
Einzelaufnahmen mit TAKEPIC
Eine Minute vor dem ersten Kontakt sollen sechs Fotos mit drei unterschiedlichen Belichtungszeiten (1/800, 1/400 und 1/200) im Abstand von 5 Sekunden aufgenomen werden. Der ISO-Wert beträgt kontant 100 und die Blende f/8. Dies lässt sich mit zwei Gruppen à drei Einzelbelichtungen über den Befehl TAKEPIC realisieren.
Hinweis: Zeilen, die mit dem Kommentarzeichen # beginnen, werden von Eclipse Orchestrator ignoriert und dienen nur zur Information.
# Belichtungsreihe der unverfinsterte Sonne eine Minute vor dem 1.Kontakt im Abstand von 5 Sekunden TAKEPIC,C1,-,00:01:00.0,KAMERA1,1/800,8.0,100,0.000,RAW,,N,Belichtungsreihe unverfinsterte Sonne vor C1 TAKEPIC,C1,-,00:00:55.0,KAMERA1,1/400,8.0,100,0.000,RAW,,N,Belichtungsreihe unverfinsterte Sonne vor C1 TAKEPIC,C1,-,00:00:50.0,KAMERA1,1/200,8.0,100,0.000,RAW,,N,Belichtungsreihe unverfinsterte Sonne vor C1 TAKEPIC,C1,-,00:00:45.0,KAMERA1,1/800,8.0,100,0.000,RAW,,N,Belichtungsreihe unverfinsterte Sonne vor C1 TAKEPIC,C1,-,00:00:40.0,KAMERA1,1/400,8.0,100,0.000,RAW,,N,Belichtungsreihe unverfinsterte Sonne vor C1 TAKEPIC,C1,-,00:00:35.0,KAMERA1,1/200,8.0,100,0.000,RAW,,N,Belichtungsreihe unverfinsterte Sonne vor C1
Wenn Sie mehr Fotos von der unverfinsterten Sonne aufnehmen möchten, können Sie dem Skript selbstverständlich weitere Auslösungen hinzufügen.
TAKEPIC Parameter im Detail
Referenzzeit. Beispiel: C1 (1. Kontakt), MAX (Maximum), C2 etc.
Zeitoperation. Gibt an, ob die Offset-Zeit zur Referenzzeit addiert (+) oder subtrahiert (–) werden soll.
Offset-Zeit. Zeitdifferenz in Sekunden, z. B. -60 für 60 Sekunden vor dem 1. Kontakt.
Kamera-Bezeichnung. Muss exakt mit der Bezeichnung unter „Setup → Hardware → Description“ übereinstimmen (z. B. KAMERA1).
Belichtungszeit. In Sekunden, z. B. 0.00125 für 1/800 s.
Blende. Beispiel: 8.0 für f/8
ISO-Empfindlichkeit. Z. B. 100
MLU (Spiegelvorauslöszeit). Nur relevant bei DSLR-Kameras. Zeit in Sekunden zwischen Spiegelhochklappen und Auslösung (z. B. 0.5). Bei spiegellosen Kameras: 0.
Dateityp. JPG oder RAW
wird nicht mehr verwendet. immer „0“ eintragen
Incremental-Parameter „Y“ : Nur geänderte Werte im Vergleich zur vorherigen Auslösung werden übertragen „N“ : Alle Werte werden vollständig an die Kamera übermittelt
Beschreibung. Freitext zur besseren Übersicht, z. B. Testaufnahme vor C1
Alternativen zu TAKEPIC
Alternativ zum TAKEPIC-Kommando kann mit dem SETEXP-Kommando eine Belichtungseinstellung an die Kamera gesendet werden, ohne dass dabei sofort ein Foto aufgenommen wird. Die Kamera kann später im Skript mit dem RELEASE-Kommando unter Verwendung der aktuellen Belichtungseinstellungen ausgelöst werden. Bei Verwendung eines Shutterkabels kann dabei auch die Auslösedauer angegeben werden.
Intervalometer mit konstanter Belichtung
Wenn Ihnen das manuelle Einfügen mehrerer TAKEPIC-Zeilen zu aufwändig ist, können Sie stattdessen ein Intervalometer verwenden. Es ermöglicht, mit minimalem Aufwand mehrere gleichartige Aufnahmen in festem zeitlichen Abstand zu erstellen.
Ein Intervalometer beginnt zu einem festgelegten Zeitpunkt (z. B. C1 für den ersten Kontakt) und erzeugt eine definierte Anzahl von Aufnahmen mit konstanten Einstellungen. Der zeitliche Abstand zwischen den Fotos ist frei wählbar.
Beispiel Zehn Fotos der unverfinsterten Sonne – aufgenommen eine Minute vor dem ersten Kontakt (C1) – mit jeweils 5 Sekunden Abstand und identischen Belichtungseinstellungen:
#unverfinsterte Sonne mit Intervalometer 1 Minute vor C1 werden 10 Fotos im Abstand von 5 Sekunden aufgenommen FOR,(INTERVALOMETER),1,5,10 TAKEPIC,C1,-,00:01:00.0,KAMERA1,1/400,8.0,100,0.000,RAW,,N,unverfinsterte Sonne vor C1 ENDFOR
Erklärung der Intervalometer-Struktur
FOR,(INTERVALOMETER),1,5,10
1: Startindex der Schleife
5: Abstand zwischen den Aufnahmen in Sekunden
10: Anzahl der Wiederholungen (also 10 Bilder)
TAKEPIC-Befehl: Definiert die Belichtungseinstellungen für jede Wiederholung
ENDFOR: Beendet die Schleife
Innerhalb der Schleife (von FOR bis ENDFOR) können auch mehrere TAKEPIC-Zeilen verwendet werden, wenn pro Schleifendurchlauf unterschiedliche Kameraeinstellungen erforderlich sind.
Die Schleife beginnt eine Minute vor dem ersten Kontakt (C1), da der Startzeitpunkt über die TAKEPIC-Zeile definiert wird. Der erste Parameter im FOR-Befehl (1) steht für den Startindex der Schleife, hat aber keinen Einfluss auf den Zeitbezug.
Der Startzeitpunkt wird durch die in der TAKEPIC-Zeile angegebene Referenzzeit (z. B. C1) und das zugehörige Offset (z. B. -00:01:00.0) festgelegt. Die Anweisung TAKEPIC löst bei jedem Durchlauf der Schleife ein Foto mit den angegebenen Parametern aus.
Die Schleife wird zeitlich chronologisch von links nach rechts abgearbeitet – jede Wiederholung erfolgt also in gleichmäßigen zeitlichen Abständen.
Das Intervalometer kann auch für Belichtungsreihen genutzt werden – also mehrere Fotos mit unterschiedlichen Belichtungszeiten innerhalb jedes Schleifendurchlaufs.
Wichtig: Achten Sie bei solchen Konfigurationen unbedingt darauf, dass es zu keinen zeitlichen Überlappungen kommt, insbesondere bei längeren Belichtungszeiten oder kurzen Intervallen zwischen den Schleifendurchläufen.
Beispiel: Belichtungsreihe vor dem 1. Kontakt
Folgende Konfiguration erstellt eine Schleife mit fünf Durchläufen. In jedem Durchlauf werden drei Fotos mit unterschiedlichen Belichtungszeiten aufgenommen. Der zeitliche Abstand zwischen den Durchläufen beträgt 30 Sekunden, der Startzeitpunkt liegt 5 Minuten vor dem 1. Kontakt (C1):
Variante 1 – eine FOR-Schleife mit drei TAKEPIC-Anweisungen
#unverfinsterte Sonne Belichtungsreihe mit Intervalometer endet eine Minute vor C1 erstellt 3 Fotos (im Abstand von 5 Sekunden) mit unterschiedlichen Belichtungszeiten in fünf Schleifendurchläufen mit 30 Sekunden Abstand FOR,(INTERVALOMETER),0,30,5 TAKEPIC,C1,-,00:01:00,KAMERA1,1/800,8.0,100,0.000,RAW,,N,Belichtungsreihe unverfinsterte Sonne vor C1 TAKEPIC,C1,-,00:01:05,KAMERA1,1/400,8.0,100,0.000,RAW,,N,Belichtungsreihe unverfinsterte Sonne vor C1 TAKEPIC,C1,-,00:01:10,KAMERA1,1/200,8.0,100,0.000,RAW,,N,Belichtungsreihe unverfinsterte Sonne vor C1 ENDFOR
Die Schleife endet eine Minute vor dem ersten Kontakt (C1), da im FOR-Befehl als erster Parameter die „0“ gewählt wurde. Die Endzeit ergibt sich aus den TAKEPIC-Anweisungen, die den Zeitpunkt relativ zur Referenzzeit (C1) definieren. In diesem Fall läuft die Schleife zeitlich rückwärts – also von rechts nach links.
Variante 2 – drei FOR-Schleifen mit jeweils einer TAKEPIC-Anweisung
Nachfolgend ein Beispiel mit drei einzelnen Intervalometer-Blöcken, jeweils mit nur einer TAKEPIC-Anweisung.
FOR,(INTERVALOMETER),0,30,5 TAKEPIC,C1,-,00:01:05,KAMERA1,1/400,8.0,100,0.000,RAW,,N,Belichtungsreihe unverfinsterte Sonne vor C1 ENDFOR FOR,(INTERVALOMETER),0,30,5 TAKEPIC,C1,-,00:01:00,KAMERA1,1/800,8.0,100,0.000,RAW,,N,Belichtungsreihe unverfinsterte Sonne vor C1 ENDFOR FOR,(INTERVALOMETER),0,30,5 TAKEPIC,C1,-,00:01:10,KAMERA1,1/200,8.0,100,0.000,RAW,,N,Belichtungsreihe unverfinsterte Sonne vor C1 ENDFOR
Beiden Varianten sind identisch und erzeugen die gleiche Belichtungsreihe:
Hinweis: Der integrierte Editor von Eclipse Orchestrator wandelt ein Intervalometer mit mehreren TAKEPIC-Anweisungen automatisch in mehrere einzelne Intervalometer-Blöcke um – jeweils mit nur einer TAKEPIC-Zeile. Diese Umstrukturierung hat keinen Einfluss auf die Funktionsweise: Die daraus entstehenden Schleifen verhalten sich funktional identisch zur ursprünglichen Schreibweise. Vermutlich erfolgt diese Aufteilung, weil der Editor Belichtungsreihen intern nur in dieser Form korrekt darstellen und bearbeiten kann. Für die Ausführung des Skripts spielt dies jedoch keine Rolle – beide Varianten führen zum gleichen Ergebnis. Im EO-Editor steht mit der Funktion ‚Explode‘ ein Werkzeug zur Verfügung, das Schleifen in ihre Einzelanweisungen auflöst.
1. Kontakt (Q=11 oder Q=8 je nach Filter)
Erster Kontakt – der Beginn der Sonnenfinsternis
Der erste Kontakt (C1) ist für Finsternisfotograf*innen ein besonders spannender Moment: Es ist der lang ersehnte Zeitpunkt, an dem die Sonnenfinsternis beginnt – die Mondscheibe berührt erstmals den Rand der Sonne.
Um diesen Moment fotografisch festzuhalten, stehen erneut drei Möglichkeiten zur Verfügung:
Partielle Phase zwischen 1. und 2. Kontakt (Q=11 oder Q=8 je nach Filter)
DieZur fotografischen Erfassung der partiellen Phase vor C2 gibt es folgende Möglichkeiten, ein Skript zu erstellen:
Einzelaufnahmen
Intervalometer mit konstantem Intervall
Magnitude-Serie von Bildern (belichtungsabhängig vom Bedeckungsgrad der Sonne)
Da die partielle Phase fast eine Stunde dauert, wird aus praktischen Gründen auf Einzelaufnahmen verzichtet, da diese zu viele manuelle TAKEPIC-Anweisungen erfordern würden.
Intervalometer
Mit einem Intervalometer lässt sich die partielle Phase effizient und automatisiert dokumentieren.
Sie müssen lediglich:
Ein Zeitintervall zwischen den Bildern festlegen (z. B. alle 60 Sekunden)
Die Anzahl der Bilder entsprechend der Dauer der Phase berechnen
Beispiel: Wenn die partielle Phase 60 Minuten dauert und Sie alle 60 Sekunden ein Bild aufnehmen möchten, benötigen Sie 60 Aufnahmen.
Der große Vorteil: Mit nur wenigen Zeilen im Skript lässt sich so eine umfangreiche Bildreihe erzeugen – gleichmäßig verteilt über die gesamte Phase. Im nachfolgenden Beispiel werden 99 Fotos im Abstand von 33 Sekunden erstellt. Die Reihe endet 33 Sekunden vor dem 2. Kontakt.
Eine besonders komfortable Methode zur Aufnahme der partiellen Phasen bietet die sogenannte Magnitude-Serie. Im Gegensatz zum klassischen Intervalometer übernimmt hier Eclipse Orchestrator die Berechnung der Zeitpunkte automatisch, basierend auf dem Bedeckungsgrad der Sonne (Magnitude).
Diese Funktion ist eine Weiterentwicklung des klassischen Intervalometers und ermöglicht eine gleichmäßige Bildverteilung abhängig vom Fortschritt der Finsternis, nicht von festen Zeitabständen.
Bei der Magnitude-Serie wird die Schleife nicht durch feste Zeitintervalle, sondern durch bestimmte Prozentwerte der Sonnenbedeckung (Magnitude) gesteuert. Die Zeitreferenz in der FOR-Schleife ist also nicht ein fixer Zeitpunkt wie z. B. C1, sondern ein definierter Bedeckungsgrad in Prozent.
Aufbau der Magnitude-Serie
Wie beim Intervalometer wird die Schleife mit drei Parametern definiert:
Start-Magnitude (z. B. 1 für 1 % Bedeckung)
Intervall-Magnitude (z. B. 1 für 1 %-Schritte)
End-Magnitude (z. B. 99 für 99 % Bedeckung)
Magnitude-Serientypen
MAGPOST (VAR) → Für die Phase zwischen 3. und 4. Kontakt MAGPRE (VAR) → Für die Phase zwischen 1. und 2. Kontakt
FOR,(VAR),1.000,1.000,99.900 TAKEPIC,MAGPRE (VAR),+,00:00:00.0,KAMERA1,1/400,8.0,100,0.000,RAW,,N,Partials C1-C2, filter on ENDFOR
Auch mit einer Magnitude-Serie lassen sich Belichtungsreihen erstellen:
Nachdem Sie etwa 30 Sekunden vor der Totalität (C2) den Sonnenfilter entfernt haben, erscheint für wenige Sekunden der beeindruckende Diamantring. Kurz darauf wird das Perlschnur-Phänomen (Baily’s Beads) sichtbar.
Der Diamantring ist mit einem typischen Q-Wert von 5 deutlich heller als die Baily’s Beads, die mit Q = 11 deutlich schwächer leuchten. Da sich beide Phänomene innerhalb weniger Sekunden sehr schnell verändern, sollten Sie sich vorab entscheiden, welches Phänomen Sie bevorzugt fotografieren möchten – und wie viele Aufnahmen Sie davon machen wollen.
Beispiel: Belichtungsreihe für beide Phänomene
Eine Möglichkeit besteht darin, eine Belichtungsreihe aufzunehmen – z. B. mit einer Recycle-Time von 2 Sekunden und einem Intervall von 2,5 Sekunden.
Bei Verwendung einer schnellen Kamera in Kombination mit einem Shutterkabel kann die Recycle-Time auf etwa 1 Sekunde reduziert werden. Dadurch sind eng getaktete Belichtungsreihen mit einem Intervall von 1,5 Sekunden realisierbar.
Eine alternative Herangehensweise wäre, den Diamantring mit Q = 5 unmittelbar vor der Totalität und die Baily’s Beads mit Q = 11 direkt nach der Totalität aufzunehmen – oder die Reihenfolge umzukehren. Dadurch lassen sich beide Phänomene gezielt und ohne zeitliche Überlagerung erfassen.
Baily’s Beads kurz vor dem 2. Kontakt (Q=11)
Zur Vorbereitung oder Kontrolle können die Baily’s Beads in Eclipse Orchestrator über „Windows“ → „Baily’s Beads“ simuliert werden.“
Bei einer Recycle-Time von 2 Sekunden und einem Aufnahmeintervall von 2,5 Sekunden kann ein geeignetes Intervalometer für die Baily’s Beads z. B. 8 Bilder erfassen. Die Umsetzung könnte folgendermaßen aussehen:
Je nach Zielsetzung besteht selbstverständlich auch die Möglichkeit, eine Belichtungsreihe oder gezielte Einzelaufnahmen durchzuführen.
Chromosphere kurz nach dem 2.Kontakt (Q=11)
Kurz nach dem zweiten Kontakt (C2) ist die Chromosphäre für einige Sekunden sichtbar. Gleichzeitig können – abhängig von der aktuellen Sonnenaktivität – Protuberanzen am Sonnenrand auftreten.
Beide Phänomene lassen sich mit einer gezielten Belichtungsreihe fotografisch erfassen:
Korona-Belichtungsreihen zwischen dem 2. und 3. Kontakt (Q=7 bis Q=-3)
Belichtungsreihen während der Totalität – Aufnahmen der Sonnenkorona
Während der Totalität wird die Korona der Sonne sichtbar. Da deren Helligkeit sich über mehrere Größenordnungen erstreckt, reicht der Dynamikumfang der Kamera nicht aus, um alle Details in einem einzigen Bild korrekt abzubilden – besonders nicht ohne Über- oder Unterbelichtung.
Aus diesem Grund ist eine Belichtungsreihe (Bracketing) sinnvoll, bei der mehrere Aufnahmen mit unterschiedlichen Belichtungszeiten erstellt werden. Die genaue Anzahl der Bilder und die gewählten Belichtungszeiten hängen davon ab, wie Sie das finale Gesamtbild später in einem Bildbearbeitungsprogramm (z. B. durch HDR-Zusammenführung) zusammensetzen möchten.
Als Zeitreferenz für die Belichtungsreihen können u. a. folgende Variablen verwendet werden:
C1 – Erster Kontakt
MAX – Zeitpunkt des Maximums der Totalität
C3 – Dritter Kontakt
LAST – Zeitpunkt der jeweils vorherigen Aufnahme (nur innerhalb einer Schleife verwendbar)
Beispiel: Drei Belichtungsreihen mit zwei Zeitreferenzen
Im folgenden Beispiel werden drei Belichtungsreihen mit TAKEPIC Einzelanweisungen erstellt. Dabei kommen zwei verschiedene Zeitreferenzen zum Einsatz:
MAX: Das Maximum der Totalität als fester Ausgangspunkt
LAST: Zeitreferenz auf die jeweils vorherige Auslösung (für zeitlich aufeinanderfolgende Aufnahmen innerhalb einer Sequenz)
Die Startzeit der Belichtungsreihe hängt von der Totalitätsdauer ab. In diesem Beispiel wäre ein Sinnvoller Wert: 40 Sekunden vor dem Maximum.
Der Erdschein lässt sich am besten zum Zeitpunkt des Maximums der Totalität fotografieren. Dazu sind Belichtungszeiten mit einem Q-Wert kleiner 0 empfehlenswert, um die extrem lichtschwache Rückstreuung des Erdlichts auf dem Mond sichtbar zu machen.
Wie lange Sie dabei belichten können, hängt von mehreren Faktoren ab:
der Brennweite der verwendeten Optik
ob die Kamera nachgeführt wird
der Dauer der Totalität
Gerade bei der totalen Sonnenfinsternis 2026 ist die relativ kurze Finsternisdauer ein wesentlicher limitierender Faktor. Daher sollten Belichtungszeiten und Bildanzahl sorgfältig geplant werden, um keine wichtigen Phasen zu überlagern oder andere Belichtungsreihen zu verdrängen.
Bulb-Mode der Kamera verwenden bei Langzeitbelichtungen
Die Pro-Version von Eclipse Orchestrator unterstützt den sogenannten Bulb-Modus, mit dem Langzeitbelichtungen über mehrere Sekunden hinweg realisiert werden können. Allerdings wird der Bulb-Modus nicht von allen Kameras unterstützt. Die maximale Belichtungsdauer ist zudem vom jeweiligen Kameramodell abhängig.
Um eine Bulb-Belichtung im Skript zu aktivieren, muss dem Belichtungswert ein „B“ vorangestellt werden. Beispiel: B5.0 steht für eine Belichtung von 5 Sekunden im „Bulb Modus“.
Totalität endet
Unmittelbar vor dem dritten Kontakt (C3) treten die Phänomene in umgekehrter Abfolge zur Phase vor C2 auf: zunächst Protuberanzen und Chromosphäre, anschließend Baily’s Beads und Diamantring, bevor die Sonnenfinsternis in die partielle Phase übergeht.
Protuberanzen (Q=9) und Chromosphere kurz vor 3.Kontakt (Q=10)